女士们,先生们,老少爷们儿们!在下张大少。
1 简介
马赛克代表了一种装饰艺术的技术,通过拼装一些小方块来实现——通常是方块的形状。它们被称为“嵌块”,其他用于马赛克的材料包括大理石、陶瓷、彩色或半透明的玻璃(有时带有金色的镶嵌物)、珐琅、金属或其他刚性的单色、黑白或多色材料,用水泥或灰浆粘在一起。
马赛克代表了一种艺术形式,是无可争议的从古代一直延续到今天的最持久的装饰技术之一。马赛克的迷人历史起源于公元前三千年后期美索不达米亚的阿布拉神庙,当时的马赛克由彩色碎片、贝壳和象牙制成。
马赛克艺术一直在发展,至今仍然被用来装饰表面——地板,内墙,平板,建筑立面。它也可用于因潮湿损坏精致涂饰的地方(浴缸、游泳池和喷泉)。20世纪初,高迪采用新艺术风格,在奎尔公园、圣家族大教堂等地创造了规模宏大的马赛克作品。
古代马赛克的创造者所使用的装饰几何动机提供了审美意象,并依赖于几何图形。可以识别简单的几何形状,例如:圆、直线、弧线、螺旋线。今天,这些都可以通过计算机辅助绘图来生成。
2. 古代科林斯马赛克的几何生成
图1 [1]展示了我们选择的马赛克图案。它是在古代科林斯的一座罗马别墅中发现的,年代为公元150-200年。这块马赛克在考古博物馆中展出,博物馆是在1931-1932年期间在雅典卫城的基础上建造的,附近有雕像、陶器、石棺和其他在古科林斯考古遗址中发现的马赛克。
图1. 古代科林斯的马赛克
我们展示使用计算机辅助图形生成这个马赛克的步骤。它包含一个简单的装饰主题,具有显著的美学特征(图2和图3)。
图2:几何装饰的生成步骤
图3:放置马赛克碎片的区域的交叉线
我们用这种几何装饰的结构来实现其他的变体,利用颜色形成特殊的美感,见图4。
图4:美学装饰的变体,是在研究古代科林斯镶嵌画的基础上创造的。
3. 马赛克“生命之花”的几何生成
神圣几何学研究比例和关系。通过使用级联的圆形结构(图5,[2]),我们生成了生命之花(图6,[3]),它代表神圣几何学的符号,达芬奇研究了它的形状和数学性质。在埃及、日本、中国、印度、西班牙、土耳其、以色列、罗马尼亚等地都可以看到生命之花的图案。

图5:由级联的圆形结构生成

图6:生命之花
图7[4]展示了生命之花的几何模型,出自以色列希律王西宫的接待室,周围是石榴和无花果叶。

图7:马赛克“生命之花”,出自以色列马萨达要塞
来自图8 [4]的马赛克,具有矩形形状,在其中心包含生命之花的图案。今天,在从属于希律王宫殿的浴室中复原后,在以色列国家博物馆中展览。

图8. 以色列的马赛克
生命之花有90个元素,来自于圆圈的交点。它们沿着3个同心圆六边形分别放置在3个位置:A, B和C。首先确定每个单独元素的几何形状。然后根据位置,将它扩展延伸。
在图9中,我们提出了一种变体,通过使用计算机辅助图形从所研究的马赛克中生成“生命之花”图案,分6个步骤进行。

图9:用计算机辅助图形生成具有90个元素的装饰物“生命之花”
对240个元素使用相同的方法进行生成(图10)。

图10:所研究的240个元素的装饰物的生成
4.花卉马赛克的几何生成
图11 [5]中的马赛克出自以色列马萨达拜占庭教堂的地板

图11:以色列马萨达的花卉马赛克
图12 [6]给出了上面提到的马赛克的细节,其几何形状将在下面研究。

图12:细节——来自马萨达的马赛克
4.1 技术细节
马赛克制造者描画出外圆,之后将其分成12个相等的部分(测试可以用线来完成)。然后,为之前确定的12个点描画相应的半径。在两个半径之间,描画出与外圆相切的弧线,并按照得到的花瓣形状制作一个模版。有了半径,就可以绘制其他花瓣了。然后把彩色陶瓷板粘上,包括花瓣内侧。
从几何学的角度来看,所研究的马赛克由12个花瓣组成,分别在一个最小圆和一个最大圆之间。这些花瓣没有严格的界限。每个花瓣的形状由一个弧线和两个半径(直线)组成,一直延伸到最小圆。
下面描述的用于复制的曲线可以是圆弧或任何其他类型的曲线。
4.2. 使用圆弧(半圆)时的几何生成
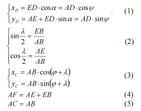
我们打算用来复制所研究的花饰中的花瓣的曲线的几何生成是通过图13进行的。

图13. 生成曲线是一个圆弧
可以得到以下方程:

我们构思了一个程序,用来生成图14,其中可以看到一个绘制的花瓣。

图14:绘制一个花瓣
图15展示了可变半径AD

图15:根据可变半径AD描绘花瓣
通过图16所示的计算机辅助生成获得的图像再现了马赛克装饰物。

图16:电脑生成的花卉装饰
4.3.使用外摆线时的几何生成
外摆线是另一条可以用来近似花瓣的曲线。
它由图17的机制来绘制,通过点C,条件是遵守以下关系。

图17:用来追踪从马赛克中再现花瓣的曲线的机制
图18描绘了最终形成的花瓣。

图18: r1=110, r2=10的花瓣
由计算机生成的两个解决方案都与真实的马赛克相似。
4.4. 在与所研究的马赛克相关的模型基础上构建的其他美丽图案
通过使用上述程序,我们得到了其他美丽的图案,图19。
图19:在电脑上生成的属于马萨达马赛克的花饰的变体
我们可以注意到:
- 当增大r2时,花瓣的数量就会减少。
- 花瓣的数量是由r1/r2的比率决定的。
- 对于r2=3.333,我们得到的花瓣数等于36.0036,这与36非常接近,图中无法看出差异。
5 结语
由于创作者的天赋,我们为研究几何生成而选择的3幅马赛克——古代科林斯的马赛克、以色列的生命之花和马萨达要塞的马赛克,提供了精致的美学形象,使得装饰了这些马赛克的建筑更加宏伟大气。
我们成功地确定了艺术家使用的几何结构,并通过使用计算机来生成装饰品,这提供了许多优势。
再现了所研究的几何饰品的曲线,得到了与真实马赛克相似的计算机生成的解。
用于复制马萨达马赛克的曲线是环状弧线或圆弧,从技术角度来看,这更容易实现。
这种类型的生成使无限数量的变体的再现成为可能,通过许多形状来表达。
我们还在上述三个例子的结构基础上创造了其他的多色装饰品,这些装饰品可以作为墙壁和地板的装饰元素,具有显著的美感,为空间带来优雅和光明。
参考文献
[1]http://it.camperistas.com/6227/corinto-antica, Accessed: 2015-03-01.
[2]http://aeqai.com/main/2013/08/geometricallyordered-design-the-everlasting-fruit/seed_of_life/Accessed: 2015-02-20.
[3] http://printablecolouringpages.co.uk/?s=flower+of+life, Accessed: 2015-02-01.
[4]https://floweroflifemystery.wordpress.com/2014/08/29/artifacts/ Accessed: 2015-02-15.
[5]http://ellisshuman.blogspot.ro/2013/12/masadalegend-and-truth.html, Accessed: 2015-02-10.
[6] http://en.wikipedia.org/wiki/Mosaic, Accessed: 2015- 01-10.
[7] Ludmila SASS, Alina DUTA, Iulian POPESCU, GENERATION OF GEOMETRIC ORNAMENTS IN ANCIENT MOSAIC ART
青山不改,绿水长流,在下告退。
转发随意,转载请联系张大少本尊。
相关知识
花朵的隐秘几何2:初生几何之花
传统几何插花的基本花形分类与插花步骤
古代埃及工艺美术
这种鲜花几何设计,很酷!
植物纹样在西方新古典家具中的应用(下)
古代的传统喜庆之花艺
新季节的烛火盛宴,大花盛开,谁能估算其光芒?烧之,蜡烛数几何?
东西方传统插花艺术对比
蓝色和玫瑰色装饰花卉元素的几何风格。春季花面设计用于卡片、请柬、婚礼装饰、印刷。图片
西方传统几何式插花中,花器外露,则按花枝比花器长()的比例要求。
网址: 古代马赛克艺术中几何装饰的构成:迷幻螺旋、生命之花、几何之花 https://m.huajiangbk.com/newsview194351.html
| 上一篇: 插花艺术发展史演示课件文.ppt |
下一篇: 东方插花与西方插花形式的区别 |